The strongest independent predictor of SCC metastasis
DecisionDx-SCC is a genomic test that looks at the tumor biology of your squamous cell carcinoma (SCC) of the skin to better understand the risk of your cancer spreading to other parts of your body.
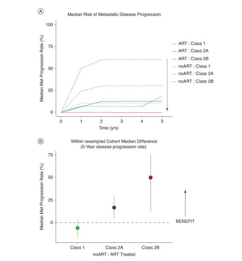
New publication in Future Oncology confirms DecisionDx-SCC identifies high-risk SCC patients who benefit most from adjuvant radiation therapy
DecisionDx-SCC has now been independently validated to predict ART treatment benefit in two studies comprising over 1,300 patients. Together, these two studies by Ruiz et al. in Future Oncology (2024) and Arron et al. in the Red Journal (2024) represent the largest published population of ART-treated high-risk SCC patients. Results from this study provide a validation of the performance of the previously reported (Arron et al. Red Journal 2024) benefit of ART for Class 2B tumors and a lack of benefit for Class 1 tumors and was conducted using 423 tumors from 399 patients from Brigham Women’s Health (BWH) and Cleveland Clinic. Given the consistency of the results from two independent cohorts, DecisionDx-SCC can aid in ART decision-making for patients with high-risk SCC tumors.

Hear how Mohs surgeon, Desiree Ratner, MD, uses DecisionDx-SCC to optimize SCC treatment decisions including referrals to radiation oncology
With DecisionDx-SCC, you and your doctor can make informed decisions about:
DecisionDx-Melanoma is a gene expression profile (GEP) test, which examines the activity of 31 genes in your tumor to provide insights into how your melanoma may behave, potentially impacting your treatment in the following ways:
Discover how DecisionDx-SCC helped a patient avoid radiation therapy
Dr. David Cotter, MD, PhD, Dermatologist Las Vegas Dermatology shares what he finds most valuable about utilizing DecisionDx-SCC to personalize care for his high-risk SCC patients.
Why DecisionDx-SCC?
If you are interested in joining a private online community for patients, caregivers, and clinicians, where those impacted by non-melanoma skin cancer (like squamous cell carcinoma) can ask questions, share experiences, and discover the latest information about treatments, advances, and cutting-edge research, please click the following link to explore and join Skin Cancer Champions



